
日前,很多短视频平台发布内容称,靠矿泉水瓶和风扇,就能做出一个节能减排的“空调”。那么这是真的吗?
首先,关于最近网上流传的“电风扇+半截矿泉水瓶”的“自制空调”装置, 并不是最新发明。
矿泉水瓶做“空调” ,早在 2016 年 6 月,国外网站上 就有类似的装置,当时被命名为“零耗电”空调(“Zero Electricity” Air Conditioner)或环保降温器(Eco-Cooler),声称能降温 5℃。
这个国外的装置和最近国内流传的“电风扇+半截矿泉水瓶”的“自制空调”本质上是一样的,所不同的是国外的使用塑料瓶与木板组成的通风装置是直接装在房间的窗户上,利用的是户外的自然风,连电风扇都不用,因而噱头更大,若能实现,将是真正的“零能耗”。
那么这种“空调”到底有没有效果呢?
有效没效,实验室里见真章
有很多人,包括中学物理教师都做过类似的实验,但并没有测量到明显的降温效果。2018 年,笔者作为上海师范大学学科教学(物理)专业研究生学位点负责人、数理学院物理系教授,指导的一篇物理学专业的本科毕业论文《对一种“不耗电空调”的检验》,对这个问题也进行过较为深入的理论分析和实验检验。
在实验中,学生发现通过这个装置之后的空气温降基本上在 0.2℃ 以内,远远低于网传的 5℃,而且大部分情况是通过这个装置之后的空气温度往往有所上升。
而对于“风扇+矿泉水瓶”的情况,在本文开头的视频中,我们也可以发现, 通过矿泉水瓶的空气温度确实也没有显著变化。

但是,确实有不少朋友反映加了矿泉水瓶确实吹起来更凉快了,这难道是错觉吗?
体感温度≠温度
为何加了这个装置之后,人往往有更凉爽的感觉呢?这首先要区分两个概念: 实际的降温效应和体感降温效应。
实际的降温效应是指真实气体的降温效应,可以通过测温仪器来检测。对于实际物体,可以直接放置温度计来测量温度,也可以通过红外测温仪或红外热像仪来测量。根据前面所述,加装矿泉水瓶并没有明显的降温效果,甚至可能出现温度略微升高的情况。
体感降温效应则是由于人体体表的蒸发制冷所造成的。由于增加了塑料瓶,使得电风扇扇形的出风口变小,在特定区域内气流流速增大,使人体体表蒸发更快,所以感到温度降低。不过,这是以电风扇出风面积的减少为代价的。
另外, 蒸发制冷效应和降温效应是两个概念。 如果将人体换成干燥的金属小球,并不能测出小球温度的降低。当然,如果在小球上裹上一层湿纸巾/湿毛巾,此时,由于蒸发制冷效应,也能测出温度降低。从本文开头的视频中我们也能看到,气流吹拂导致的蒸发会让湿硬纸板的表面温度降低好几摄氏度。
要想弄明白一种现象,既需要实验数据,也需要理论支持,接下来咱们就从理论角度,看看该怎么解释。
理论计算
这个装在窗户上的装置到底在理论上有没有可能存在降温效果呢?这是一个比较复杂的问题,只能通过从理论上构建一个理想物理模型来探讨。
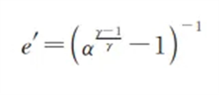
2017 年《物理通报》杂志上曾经有一篇论文讨论过这个问题,通过将流动的气体经过缩小的瓶口进入房间的过程假想为两个绝热+两个等压的可逆制冷机来计算,其计算出的制冷系数为:

其中 α 为气体在瓶口被压缩后的压强与之前压强的比值,γ 为比热容比,对于空气而言
γ=7/5=1.4
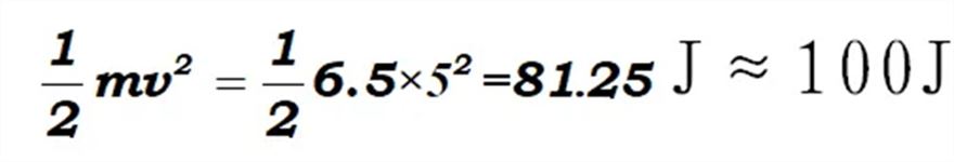
制冷机的能量来自何处?为了理论推导,我们假设流动空气(微风)的动能提供制冷机的工作能源。作如下假设:安装矿泉水瓶的窗户面积为 1 平方米(m2 ),电风扇或户外风速一般为 5m/s,假设风速垂直于窗户,则在单位时间 1s 内有 5m3 内的空气(质量为 1.29kg/ m3 ×5 m3 ≈6.5kg)以速度 5m/s 吹向窗户,其动能为:

假设房间为 4 米宽× 5 米长× 3 米高,则总表面积为 94 平米,查得一般建筑材料的导热率 κ 在 0.2~1 W/(m·K)之间,取 0.5 W/(m·K)(如干砖的热导率 κ 约为 0.27W/(m·K),假设保持室内外 5℃ 的温差,假设墙壁厚度为 0.2m,则
dT/dz= 5℃/0.2m=25℃/m
则由傅立叶定律可得单位 1s 时间内从室外传导到室内的热量为:
Q= 0.5W/(m·K) × 25(℃/m) ×94m2 =1175J≈1000J
这些热量是需要通过制冷机将其传输到室外的,假设前面估计的微风的动能全部用来提供制冷机工作的能源(这只是理论上的,实际上不可能实现),由

可以求得:α≈1.4,即要求微风空气流或电风扇的微风在从瓶底吹向瓶口的压缩过程中,其大气压要从 1 个大气压增大到 1.4 个大气压,这是难以实现的。因此从理论上的分析来看,是有降温效果,但远达不到 5℃ 的降温效果。上面探讨的是将这个装置放在窗户上,通过室外的微风动能作为能量,从理论上来分析,是有这个可能,只是降温效果特别小。
回到这次的“矿泉水瓶+风扇”装置 ,也就是在室内的电风扇出风口处装上矿泉水瓶的装置,如上述可知,这个装置从理论上也没有降温效果。这是因为电风扇放在室内,电风扇需要耗能,从能量守恒的角度,室内温度只会越来越高,不可能像空调那样能起到给室内降温的效果。 这个道理就相当于在室内打开电冰箱的门,显然是不能让室内有降温效果的,反而会使室内越来越热,温度越来越高。
本次实验有其 局限性 ,使用的是民用级测量器材,也并没有在专业实验室中进行操作,可能存在一定的误差,欢迎大家积极思考、质疑和尝试。
版权声明:凡注明来源为"港湘新闻网"的所有作品,版权归本网站所有。任何媒体转载、投稿、引用,需注明来源"港湘新闻网",否则将追究相关法律责任。
云标签 点击对应标签查看更多相关资讯!